-
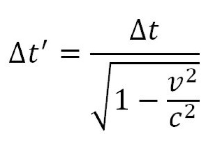
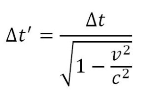
Heer Bommel legt de Speciale relativiteits-theorie (uit)
Tom Poes vraagt aan heer Bommel of hij hem misschien de speciale relativiteitstheorie kan uitleggen.
Dit is zijn antwoord....Lees meer over "Heer Bommel legt de Speciale relativiteits-theorie (uit)"